AI Daily-AI资讯日报
AI资讯日报 2026/2/25
AI资讯|每日早读|全网数据聚合|前沿科学探索|行业自由发声|开源创新力量|AI与人类未来| 访问网页版↗️ | 进群交流🤙
今日摘要
Qwen3.5发布四款中量级模型,35B超越前代235B
Claude Code支持手机远程控制,IBM因COBOL重构股价暴跌13%
国产模型占OpenRouter六成份额,Anthropic指控多家蒸馏
Meta砸千亿买AMD芯片,OpenAI支出预期腰斩至六千亿
微软玻璃存储万年4.8TB,FARS系统228小时自动产百篇论文产品与功能更新
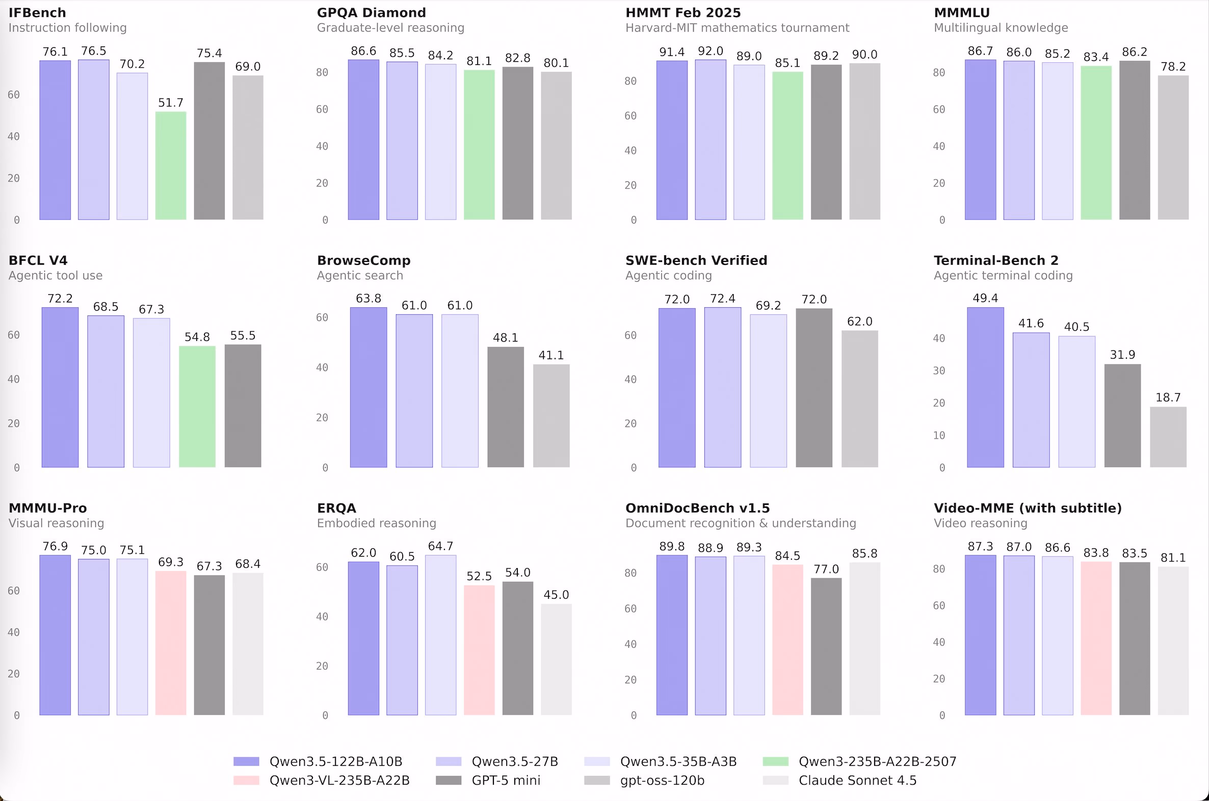
阿里Qwen3.5中量级模型全系发布。 Qwen3.5系列🚀四款模型同时首发。35B小模型(✧∀✧)竟反超前代 235B巨兽(AI资讯) 。Flash版默认支持💡百万级长文本。RL和数据质量🔥比堆参数 更加给力(AI资讯) 。去 Qwen Chat(AI资讯) 直接体验。

Claude Code上线手机远程控制。 Claude Code🚀重磅更新(✧∀✧)太酷了。终端任务能用 手机远程操控(AI资讯) 。走路开会也能💡盯着代码跑。AI在你电脑上🔥后台疯狂搬砖。随时随地掌控编码全流程。
Perplexity与Comet语音模式升级。 新版语音🚀今天已向全体用户上线。Comet能直接(✧∀✧)读懂你的屏幕。跨标签切换💡 上下文完全不断(AI资讯) 。语音交互丝滑到🔥让人起鸡皮疙瘩。大家现在就能开启对话。
Claude企业级Cowork功能发布。 Claude推出🚀Cowork新功能助力团队协作。企业可(✧∀✧)深度 定制AI工作流(AI资讯) 。插件体系⚡️迎来重磅升级。生产力工具🔥又进化了一大步。每个团队都能拥有专属Claude。
Spotify AI歌单多国上线。 🚀Spotify在多国正式上线 AI提示词歌单(AI资讯) 。自然语言即可(✧∀✧)秒出私人BGM。模糊记忆也能🔥精准解析成曲目。用户可随意追加提示词调教结果。音乐发现💡正式进入对话时代。
Google Labs官宣收编ProducerAI。 谷歌🚀正式将 ProducerAI纳入实验室(AI资讯) 。用户(✧∀✧)喜提AI作曲神器。从歌词到旋律💡创作门槛大幅降低。巨头🎹加速抢占🔥生成式音乐赛道。想象力即将变成动态音轨。
CastFox用Gemma 3n重塑播客体验。 CastFox🚀联手谷歌 Gemma 3n(AI资讯) 赋能播客。音频也能(✧∀✧)实现对话互动。语义搜索帮你💡不遗漏关键细节。智能高光🔥自动摘取精华片段。播客体验变得很不一样。
前沿研究
字节Seed用化学思维重构大模型推理。 字节Seed🚀把推理脑回路拆成(✧∀✧)分子结构。共价键管逻辑,氢键搞自我反思。 思维拓扑论文(AI资讯) 🔥揭秘真相。普通模型靠MoLE-Syn也能变身学霸。新工具让强化学习训练超稳。
FARS全自动科研流水线228小时产百篇论文。 FARS系统狂飙(✧∀✧)两百小时不停歇。 查看直播(AI资讯) 百篇论文🚀震惊全场。狂烧114亿Token成本约十万刀。平均分5.05🔥稳超人类投稿均值。科研装配线时代确实来了。
微软Nature成果:玻璃存储万年不朽。 微软把人类文明🚀刻在石英玻璃里。一块小玻璃(✧∀✧)能存🔥4.8TB数据。 论文详情(AI资讯) 用机器学习解码串扰。数据能稳存一万年💡太绝了。这是对存储介质的革命。
MIT让生成式3D设计真正可制造。 MIT推出🔥PhysiOpt框架太硬核。让生成式3D(✧∀✧)真正 可打印(AI资讯) 。物理仿真直接在潜空间里优化。打印出的杯子桌子🚀贼稳当。语义保持与计算效率💡兼得。
能量溢出法无需训练即可检测LLM幻觉。 LLM分类器🚀被重新解读为 能量模型(AI资讯) 。靠追踪能量溢出💡精准抓幻觉。全程(✧∀✧)无需额外训练直接纠错。在LLaMA和Qwen3🔥上表现超强。两个训练零成本指标就搞定。
JAEGER赋予模型3D音视定位能力。 JAEGER框架(AI资讯) 🚀打破2D感知局限。核心Neural IV(✧∀✧)声源定位极准。融合RGB-D与多通道🔥空间音频。在复杂3D环境💡推理表现强悍。发布6.1万条训练数据集。
Luna-2:小模型单Token评测降本80倍。 Luna-2🚀用小模型代替 昂贵大模型评测(AI资讯) 。成本直接(✧∀✧)怒降80倍。延迟🔥压缩20倍太猛了。每月处理超千亿Token💡稳如磐石。年省三千万美金真香。
DACo具身导航框架解耦规划与执行。 具身智能🚀迎来 DACo新框架(AI资讯) 登场。解耦全局规划与局部执行(✧∀✧)拒绝过载。零样本指标🔥暴涨6.5%适配性强。兼容GPT-4o等💡多种大模型骨干。 项目源码(AI资讯) 已开放。
MAS-FIRE发布多智能体可靠性评估框架。 研究者🚀发布了 多智能体故障注入工具(AI资讯) 。定义了15种故障(✧∀✧)覆盖认知协作。实验发现🔥模型更强不等于系统更稳。闭环拓扑能抵消💡四成致命故障。为Agent系统工程化提供关键评估。
SABER:BEV检测器3D对抗攻击框架。 SABER🔥能生成3D通用对抗物体。狠戳 BEV检测器(AI资讯) 脆弱性。实现(✧∀✧)超强的多视角时间一致性。揭示模型🚀对上下文的过度依赖。重塑自动驾驶💡安全评估新范式。
行业展望与社会影响
Grok挺进五角大楼替换Anthropic。 马斯克xAI🚀已和五角大楼签署协议。Grok挺进美军(✧∀✧)机密系统。Anthropic因拒绝监控🔥面临 被制裁(AI资讯) 风险。Gemini与ChatGPT⚡️也在加速入场。军方要求全用途标准铁了心执行。
Anthropic启动3800亿估值员工回购。 独角兽🚀豪掷六十亿现金回购股权。3800亿美金估值(✧∀✧)太吓人了。由 此详情(AI资讯) 员工变现自由。顶级🔥AI人才财务自由不是梦。模型圈格局正在大震荡。
Claude Code攻克COBOL致IBM暴跌13%。 🚀Anthropic出狠招重构旧代码。Claude Code🔥自动化改造 COBOL系统(AI资讯) 。IBM股价(✧∀✧)应声暴跌创单日最大跌幅。95%的ATM交易底层被AI盯上。传统IT巨头💡正面临生存危机。

国产大模型霸榜OpenRouter份额破六成。 国产模型🚀在 OpenRouter(AI资讯) 份额高达61%。MiniMax M2.5(✧∀✧)空降榜首霸气包圆前三。编程与智能体成🔥核心战场。价格仅为海外旗舰💡十六分之一。国产力量正在横扫全球开发者生态。
OpenAI将支出预期从1.4万亿降至6000亿。 万亿预算🚀规模直接腰斩到 六千亿(AI资讯) 。奥特曼澄清(✧∀✧)那是八年期承诺。众口质疑2030年两千八百亿营收🔥太离谱。GPU和电力产能瓶颈💡根本跟不上。供应链与信贷已出现错配风险。
荣耀首款人形机器人将亮相MWC2026。 荣耀首款人形机器人要🚀亮相 MWC(AI资讯) 大会。瞄准家庭陪护(✧∀✧)做贴心助手。五年狂砸百亿美金🔥真的够狠。奔跑速度4m/s比Atlas还猛。手机巨头正跨界💡具身智能赛道。
千寻智能融资20亿估值破百亿。 具身巨头千寻智能(✧∀✧)狂揽20亿融资。Spirit v1.5🚀模型 反超Pi0.5(AI资讯) 全球领先。数据采集成本降低90%🔥太猛了。宁德时代产线已实现💡零故障量产。估值暴涨正式跻身百亿俱乐部。
OpenAI与领英验证卷入监控争议。 调查报告(AI资讯) 😱曝光身份监控链条。领英验证流程引发🚀隐私危机。个人数据(✧∀✧)被供应商长期留存。验证账号沦为🔥AI垃圾信息温床。权力网络正在深度渗透。
Cloudflare用AI一周重写Next.js仅花$1100。 CF🚀用AI一周重构(✧∀✧) Next.js框架(AI资讯) 。总共只花**$1100的Token🔥太便宜了。⚡Vite核心让构建性能💡炸裂提升。但引发了严重的供应商锁定**担忧。开源生态可能🚀面临洗牌。
arXiv投稿翻倍疑由LLM驱动。 arXiv的hep-th分区投稿量🚀翻了一倍。专家怀疑🤖LLM滥用制造 学术噪声(AI资讯) 。(✧∀✧)发论文这件事的稀缺性被摧毁。治理需要贝叶斯过滤🔥来应对灌水。学术评价体系💡正面临信用崩塌。
微软紧急警告OpenClaw存在严重安全漏洞。 微软🔥紧急警告OpenClaw助手有风险。严禁在🚀 企业工作站(AI资讯) 运行。该工具存在(✧∀✧)提示注入攻击面。已有🔥五万实例爆出远程代码执行漏洞。必须将其隔离在💡独立沙箱环境。

Meta斥资千亿美金狂买AMD芯片。 Meta狂砸1000亿美金🚀买AMD芯片。为了个人超级智能(✧∀✧)彻底拼了。苏妈和扎克伯格🤝联手 搞大事(AI资讯) 🔥。算力霸权之战💡彻底打响。全球GPU格局正在被重塑。

开源TOP项目
Qwen3-Coder-Next登顶Unsloth下载榜。 🚀Qwen3-Coder-Next在 Unsloth(AI资讯) 火得离谱。80B超大模型竟然在(✧∀✧)36GB设备流畅跑。配合Claude Code本地开发🔥真的省钱。GGUF量化技术💡让开发者集体起立。这波优化太给力了。

PersonaLive实时肖像驱动开源。 GVCLab🚀发布了 PersonaLive(AI资讯) 源码(⭐1.9k)。仅需一张照片📸即可(✧∀✧)生成灵动视频。实时人物驱动🔥效果极佳。运行速度⚡表现惊人。数字人技术门槛💡大幅降低。
Hugging Face推出skills智能体技能库。 HF🔥推出 skills技能库(AI资讯) (⭐5.2k)。让AI🤖快速(✧∀✧)掌握工具调用。开发逻辑🛠️极其简洁。智能体生态💡又添核心组件。降低Agent开发门槛🚀意义重大。
Scrapling爬虫工具GitHub爆火。 Scrapling(⭐12.5k)🚀日增近 两千Stars(AI资讯) 。它的速度(✧∀✧)简直冒烟。绕过检测⚡采集核心语料。AI训练🔥数据工程必备神器。低门槛大规模采集💡就靠它了。
Flux.2 Klein 9B低显存工作流发布。 Flux.2模型适配🚀低显存 GGUF方案(AI资讯) 。采用压缩格式(✧∀✧)效果惊人。显存不够🔥也能跑9B模型。本地部署玩家💡有福了。社区分享了完整工作流教程。
ruvector极简Rust向量检索库。 🚀 ruvector(AI资讯) (⭐714)用Rust写的极简方案。大幅加速(✧∀✧)向量计算效率。📦极简设计解决🔥配置难痛点。开发者轻松搞定💡向量化检索。RAG应用底座又多一选择。
社媒分享
Anthropic与五角大楼秘密谈判内幕曝光。 Anthropic正在与五角大楼🤝激烈交锋。这场🔥生存博弈(✧∀✧)关乎全球局势。Claude在🛡️国防领域守住伦理底线。 The Verge独家报道(AI资讯) 揭秘内幕。马斯克xAI正在🚀虎视眈眈。

OpenAI宣布废弃SWE-bench Verified基准。 🚀OpenAI弃用 SWE-bench标准(AI资讯) 。审计(✧∀✧)曝出测试用例设计缺陷。核心模型🔥依赖训练记忆刷分非推理。推荐转向💡更严格的Pro版基准。重塑大模型代码能力评估体系。

AI危机推演雄文重创美股暴跌800点。 一篇 推演文章(AI资讯) 🚀把市场砸出大坑。幽灵GDP让机器(✧∀✧)只产出不消费。白领结构性失业🔥正在搞垮内需。信贷体系稳健假设正在崩塌💡。人类智识不再稀缺这个逻辑得重写。

Anthropic指控国产大模型工业级蒸馏。 Anthropic🔥 控诉中国模型(AI资讯) 非法洗数据。MiniMax🚀竟被指蒸馏最多(✧∀✧)。涉嫌创建2.4万欺诈账号调用💡1600万次。网友调侃:这是给国产模型做背书。GLM表示:那我呢🔥我就完全没蒸馏?
前Cursor核心加盟OpenAI Codex团队。 顶级🚀大牛从Cursor加盟 OpenAI(AI资讯) 新团队。提出(✧∀✧)ADE代理开发环境概念。工具进化🔥从IDE迈向智能体编排。未来不是更好的编辑器💡而是系统。Greg Brockman亲自欢迎。
CLI或成AI智能体交互最佳路径。 命令行界面竟然是🚀 智能体的最佳搭档(AI资讯) 。大神卡帕斯高度🔥评价CLI原生性。智能体(✧∀✧)通过终端工具箱灵活组合。仅靠文件与CLI💡就能操控一切。不要小看这个重塑交互的趋势。

Simon发布智能体工程模式指南。 @simonw大佬🚀发布 工程模式指南(AI资讯) 。以后写代码超便宜(✧∀✧)几乎零成本。用红绿TDD🔥约束Agent幻觉。琐碎小事丢给异步代理💡自动完成。跨越感性编程迈向工程化时代。

国内大模型三维实力深度PK。 字节跳动在🚀AI赛道表现(✧∀✧)无可争议。[详解国内格局(AI资讯)]( https://m.okjike.com/originalPosts/699e0fb
AI资讯日报多渠道
| 💬 微信公众号 | 📹 抖音 |
|---|---|
| 公众号:何夕2077 | 自媒体账号 |
![]() | ![]() |

